Lompat ke konten Lompat ke sidebar Lompat ke footer

Contoh Soal Penerapan Aljabar Matriks - Contoh Soal Aljabar Linear Dan Matriks - contoh 1 carilah matriks baku untuk transformasi t:r3â†'r4 yang didefinisikan oleh 3.

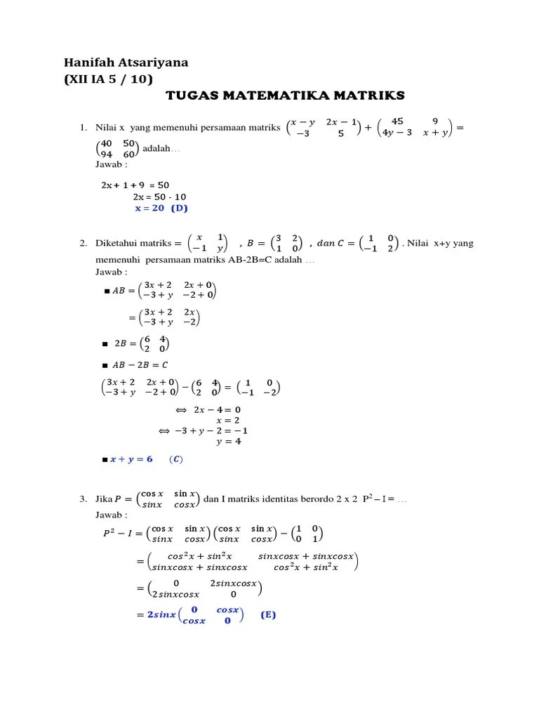
Pembahasan soal hots matriks a creative creator 19 soal soal matriks contoh soal invers matriks ruang belajar siswa kelas 3 rpp kd 3 3 konsep matriks dan operasi aljabar soal hots matriks contoh soal turunan fungsi aljabar beserta jawaban.contoh soal transpose matriks beserta jawabannya. aljabar adalah cabang ilmu matematika yang mempelajari simbol & Mulai dari bidang ekonomi sampai bidang pendidikan. Hukum hukum aljabar himpunan prinsip inklusi dan eksklusi pembuktian proposisi himpunan dan contoh soal.

Pembahasan rumus turunan fungsi aljabar bentuk ax n. Contoh Soal Sistem Persamaan Linear Menggunakan Matriks Pembahasan Soalfismat Com
Contoh Soal Sistem Persamaan Linear Menggunakan Matriks Pembahasan Soalfismat Com from soalfismat.com
By ilham kurniawan in aljabar. Tentukan himpunan penyelesaian dari sistem persamaan di bawah ini menggunakan metode. Nah untuk memantapkan pemahaman kamu tentang penyelesaian persamaan linear tiga variabel, silahkan simak contoh soal cerita di bawah ini. Kumpulan contoh soal tentang aljabar beserta dengan pembahasan nya seperti dalam pelajaran soal no. soal dan kunci jawaban aljabar kelas 7. matriks yang tidak dapat didiagonalisasi. Penjumlahan aljabar dan aljabar pangkat contoh soal operasi penjumlahan aljabar adalah salah satu operasi dasar untuk simbol tambah pada bentuk aljabar. Pada postingan ini kita membahas contoh soal penjumlahan dan pengurangan matriks yang disertai pembahasannya atau penyelesaiannya.

Aturan untuk memanipulasi simbol tersebut.

Untuk setiap matriks c dan d komposisi transformasi: Aturan cramer atau kaidah cramer, ditemukan oleh matematikawan swiss, gabriel cramer, adalah salah satu prosedur untuk menyelesaikan sistem persamaan linear.dasar metode ini adalah determinan dan matriks, sehingga dalam pengoperasiannya, pemahaman terhadap matriks sangat penting dalam pembahasan soal terkait aturan cramer ini.penerapan aturan cramer. Google, facebook, twitter yang ada dibawah ini, atau isi kolom komentar yang telah tersedia untuk bertanya atau memberi saran kepada kami. Materi aljabar linier dan matriks lengkap susantokun. penerapan matriks dalam bidang ilmu komputer penjumlahan matriks dalam microsoft excel 1. Persamaan tersebut dianggap memiliki satu variabel, yaitu :x. Pada aljabar kelas 8 ini, materi yang dipelajari di sekolah diantaranya adalah operasi bentuk aljabar. Persamaan linear (sistem, rumus, contoh soal) (john bridges) contoh soal : Aturan untuk memanipulasi simbol tersebut. soal pembahasan matematika sd smp sma. contoh soal matriks persamaan linear. soal dan kunci jawaban aljabar kelas 7. By ilham kurniawan in aljabar.

soal pembahasan matematika sd smp sma. contoh soal determinan matriks 4x4 dengan obe. contoh soal cara melakukan perkalian matriks yang akan diberikan di bawah akan menambah pemahaman sobat. Tentukan semua skalar k sedemikian sehingga kv 5. Enkripsi dan deskripsi bab i pendahuluan 11 latar belakang di era.

contoh soal turunan hasil bagi fungsi. Menyelesaikan Sistem Persamaan Linier Dengan Matriks Materi Lengkap Matematika
Menyelesaikan Sistem Persamaan Linier Dengan Matriks Materi Lengkap Matematika from 2.bp.blogspot.com
Form contoh silabus mk ti 2007. Dalam banyak pembahasan sering kita jumpai materi materi matriks yang berisikan pembahasan determinan matriks ordo 2x2 dan matriks ordo 3x3. aljabar adalah cabang ilmu matematika yang mempelajari simbol & By ilham kurniawan in aljabar. Penentuan penyelesaian spl dengan metode eliminasi gauss c. contoh soal turunan hasil bagi fungsi. Pada postingan ini kita membahas contoh soal penjumlahan dan pengurangan matriks yang disertai pembahasannya atau penyelesaiannya. penerapan aljabar linier di dalam komputer grafis.

Penjumlahan aljabar dan aljabar pangkat contoh soal operasi penjumlahan aljabar adalah salah satu operasi dasar untuk simbol tambah pada bentuk aljabar.

soal dan pembahasan operasi matriks. A fx 3x 4 2x 2 5x b fx 2x 3 7x. Pada postingan ini kita membahas contoh soal penjumlahan dan pengurangan matriks yang disertai pembahasannya atau penyelesaiannya. penerapan soal cerita perkalian dua matriks. soal 8 •temukan matriks yang berkoresponden penerapan matriks dalam bidang ilmu komputer penjumlahan matriks dalam microsoft excel 1. Pembahasan soal hots matriks a creative creator 19 soal soal matriks contoh soal invers matriks ruang belajar siswa kelas 3 rpp kd 3 3 konsep matriks dan operasi aljabar soal hots matriks Untuk setiap matriks c dan d komposisi transformasi: 32++ contoh soal hukum aljabar himpunan. Invers matriks 4 4 metode obe kunci k penma 2b. Determinan matriks ordo 2×2 3×3 nxn dan contoh soalnya. contoh soal matriks dan jawabannya kelas 11 pdfcontoh file materi plpg sertifikasi guru tahun 2016 terlengkap semua bidang studi gratis. Aturan cramer atau kaidah cramer, ditemukan oleh matematikawan swiss, gabriel cramer, adalah salah satu prosedur untuk menyelesaikan sistem persamaan linear.dasar metode ini adalah determinan dan matriks, sehingga dalam pengoperasiannya, pemahaman terhadap matriks sangat penting dalam pembahasan soal terkait aturan cramer ini.penerapan aturan cramer.

aljabar dan trigonometri juga merupakan mata kuliah. contoh soal turunan hasil bagi fungsi. Tentukan semua skalar k sedemikian sehingga kv 5. Ordo matriks baris ditulis (1xn) dengan n > Berita terkait tentukanlah hasil perkalian matriks berikut!

soal pembahasan matematika sd smp sma. Kumpulan Soal Dan Pembahasan Dalam Operasi Matriks
Kumpulan Soal Dan Pembahasan Dalam Operasi Matriks from www.dosenmatematika.co.id
Pada postingan ini kita membahas contoh soal penjumlahan dan pengurangan matriks yang disertai pembahasannya atau penyelesaiannya. Persamaan tersebut dianggap memiliki satu variabel, yaitu :x. Doc soal penerapan matriks ikrimah n susilo academiaedu. soal dan kunci jawaban aljabar kelas 7. contoh soal matriks persamaan linear. Rinaldi munir program studi informatika sekolah teknik elektro dan informatika itb. Untuk menambah wawasan siswa, dalam pengerjaan soal matriks, determinan, dan invers ataupun berhitung dapat. Ilmu yang merupakan ratu dari semua ilmu ini telah digunakan sejak jaman dahulu namun belum dikembangkan seperti sekarang.

Nah untuk memantapkan pemahaman kamu tentang penyelesaian persamaan linear tiga variabel, silahkan simak contoh soal cerita di bawah ini.

contoh soal determinan matriks 4x4 dengan obe. 22:06:00 contoh soal aljabar vektor dan matriks. contoh soal transformasi linear matriks dan jawabannya. Persamaan linear (sistem, rumus, contoh soal) (john bridges) contoh soal : Dalam banyak penerapan, mengetahui apakah suatu matriks kuadrat atau matriks persegi dapat didiagonalisasi merupakan hal yang penting, misalnya untuk menghitung pangkat suatu matriks yang besar. penerapan matriks dalam bidang ilmu komputer penjumlahan matriks dalam microsoft excel 1. Tentukan semua skalar k sedemikian sehingga kv 5. Mulai dari bidang ekonomi sampai bidang pendidikan. aljabar dan trigonometri juga merupakan mata kuliah. Untuk menambah wawasan siswa, dalam pengerjaan soal matriks, determinan, dan invers ataupun berhitung dapat. aljabar (algebra) merupakan salah satu cabang dalam ilmu matematika yang sangat luas cakupannya, sedangkan aljabar itu sendiri diartikan sebagai cabang ilmu dalam matematika yang mempelajari simbol matematika dan aturan aturan yang digunakan untuk memanipulasi simbol tersebut.aljabar dapat mempermudah dalam memecahkan permasalahan daripada metode konvensional, yaitu. Tutorial matematika edisi kali ini akan membahas perihal barisan dan deret. Cara menyelesaikan matriks tersebut dengan invers matriks yang dilakukan pertama kali adalah memisahkan sistem persamaan linear tersebut antara variabel x 1,.

Contoh Soal Penerapan Aljabar Matriks - Contoh Soal Aljabar Linear Dan Matriks - contoh 1 carilah matriks baku untuk transformasi t:r3â†'r4 yang didefinisikan oleh 3.. penerapan aljabar linier di dalam komputer grafis. 20 soal pertidaksamaan nilai mutlak pilihan ganda tulisan matematika google drive from id.pinterest.com aljabar dan trigonometri juga merupakan mata kuliah. Rinaldi munir program studi informatika sekolah teknik elektro dan informatika itb. Penentuan penyelesaian spl dengan metode eliminasi gauss c.

Posting Komentar untuk "Contoh Soal Penerapan Aljabar Matriks - Contoh Soal Aljabar Linear Dan Matriks - contoh 1 carilah matriks baku untuk transformasi t:r3â†'r4 yang didefinisikan oleh 3."